Strona główna/O nas/WUG/Struktura/Komórki organizacyjne/Departament Ochrony Środowiska, Gospodarki Złożem i (..)

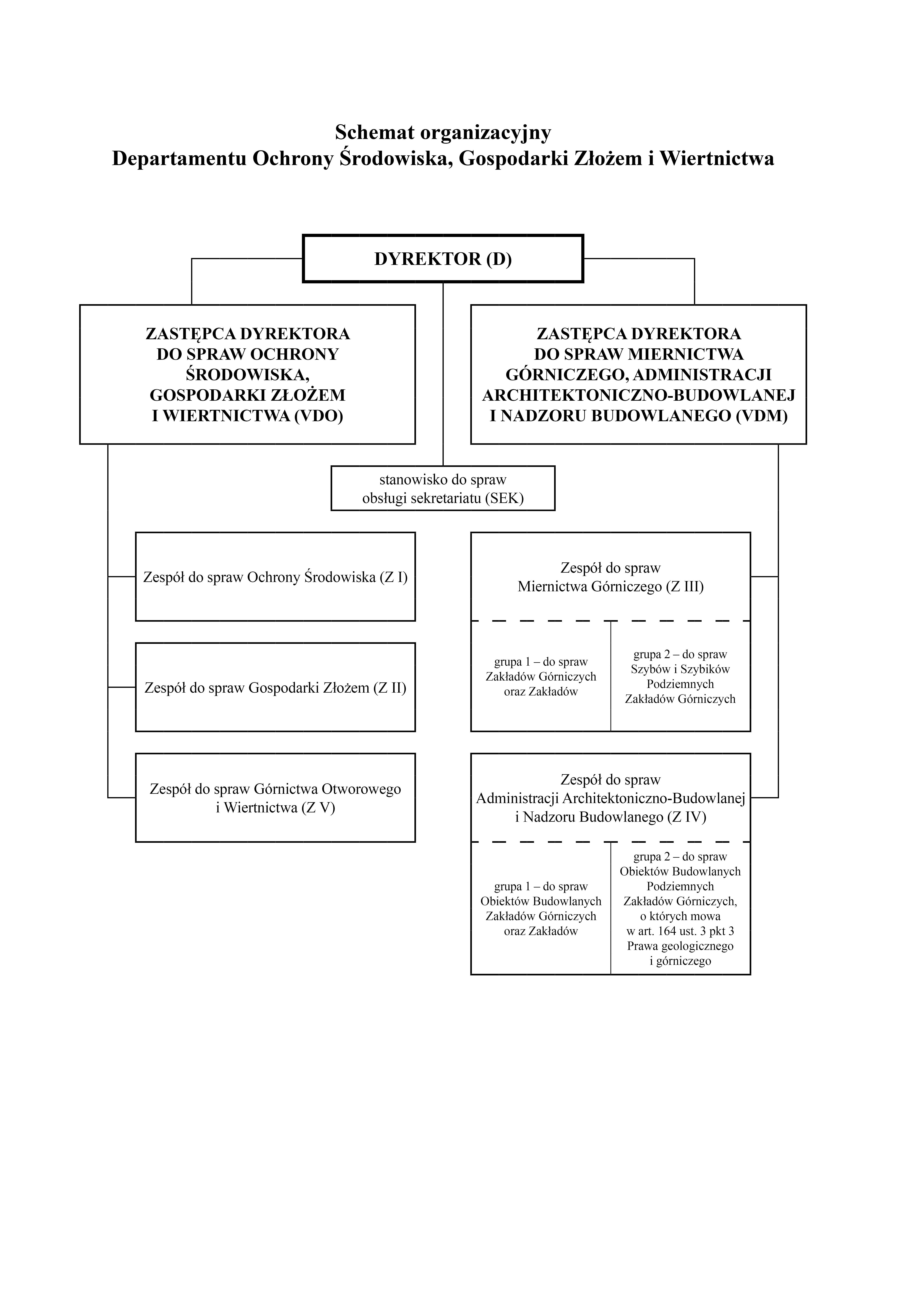
Departament Ochrony Środowiska, Gospodarki Złożem i Wiertnictwa

Dyrektor: Janusz Orlof

Zastępcy dyrektora:

Piotr Kujawski

Jarosław Mgłosiek

 

Kategoria: Powiązane pliki [2]
Format Data publikacji Nazwa pliku (kliknij aby pobrać) Pobierz Zobacz
Kategoria: Pliki
jpg 2024-08-23 Schemat_organizacyjny_OSG_1-07-2024.jpg
ilość pobrań: 687
Schemat_organizacyjny_OSG_1-07-2024.jpg 1.51MB zobacz
pdf 2024-08-23 Schemat_organizacyjny_OSG_1-07-2024.pdf
ilość pobrań: 576
Schemat_organizacyjny_OSG_1-07-2024.pdf 157.67KB zobacz
do góry